
IKONSULTRA.COM : KONAWE – Komisi Pemilihan Umum (KPU) Kabupaten Konawe mengumumkan secara resmi penetapan hasil seleksi anggota Panitia Pemungutan Suara (PPS) Kabupaten Konawe, Sabtu (25/5/2024).
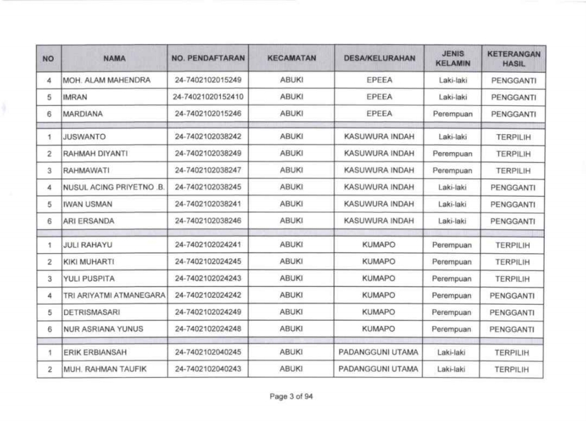
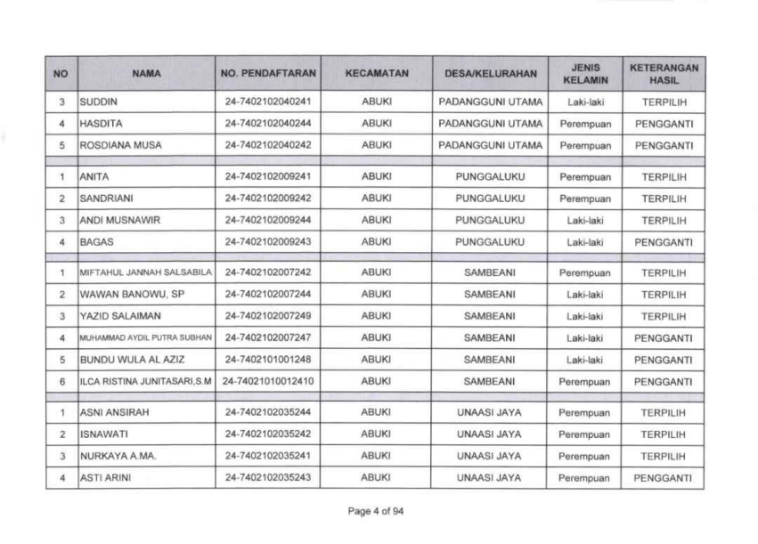
Berikut daftar nama-nama calon Anggota PPS Pilkada Kabupaten Konawe:


Tidak ada komentar